Part II, 2008, Paper 3
Part II, 2008, Paper 3
Jump to course
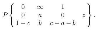
3.II.20F
commentLet be the quotient space obtained by identifying one pair of antipodal points on . Using the Mayer-Vietoris exact sequence, calculate the homology groups and the Betti numbers of .
3.II.33E
commentConsider the body-centred cuboidal lattice with lattice points and , where and are positive and and take all possible integer values. Find the reciprocal lattice and describe its geometrical form. Calculate the volumes of the unit cells of the lattices and .
Find the reciprocal lattice vector associated with the lattice planes parallel to the plane containing the points and . Deduce the allowed Bragg scattering angles of X-rays off these planes, assuming that and that the X-rays have wavelength .
3.II.25I
commentLet be an irreducible continuous-time Markov chain with countably many states. What does it mean to say the chain is (i) positive recurrent, (ii) null recurrent? Consider the chain with the arrow diagram below.

In this question we analyse the existence of equilibrium probabilities and of the chain being in state or , and the impact of this fact on positive and null recurrence of the chain.
(a) Write down the invariance equations and check that they have the form
where is a recursion matrix:
(b) Verify that the row vector is an eigenvector of with the eigenvalue where
Hence, specify the form of equilibrium probabilities and and conclude that the chain is positive recurrent if and only if .
3.II
commentDescribe how the leading-order approximation may be found by the method of stationary phase of
for , where and are real. You should consider the cases for which: (a) has one simple zero at , where ; (b) has more than one simple zero in the region ; and (c) has only a simple zero at .
What is the order of magnitude of if is non zero for ?
Use the method of stationary phase to find the leading-order approximation for to
[Hint:
3.I.9E
commentWriting , Hamilton's equations may be written in the form
where the matrix
and and 0 denote the unit and zero matrices respectively.
Explain what is meant by the statement that the transformation ,
is canonical, and show that the condition for this is that
where is the Jacobian matrix with elements
Use this condition to show that for a system with the transformation given by
is canonical.
3.I.4G
commentDefine the Hamming code and prove that the minimum distance between two distinct code words is 3. Explain how the Hamming code allows one error to be corrected.
A new code is obtained by using the Hamming code for the first 7 bits and taking the last bit as a check digit on the previous 7 . Find the minimum distance between two distinct code words for this code. How many errors can this code detect? How many errors can it correct?
3.II.23H
commentLet be a surface.
(a) Define the Gauss Map, principal curvatures , Gaussian curvature and mean curvature . State the Theorema Egregium.
(b) Define what is meant for to be minimal. Prove that if is minimal, then . Give an example of a minimal surface whose Gaussian curvature is not identically 0 , justifying your answer.
(c) Does there exist a compact minimal surface ? Justify your answer.
3.I.7A
commentState the normal-form equations for (i) a saddle-node bifurcation, (ii) a transcritical bifurcation and (iii) a pitchfork bifurcation, for a one-dimensional map .
Consider a period-doubling bifurcation of the form
where , and as . Show that
where , and the parameters and are to be identified in terms of , and . Deduce the condition for the bifurcation to be supercritical.
3.II.14A
commentDefine the Poincaré index of a simple closed curve, not necessarily a trajectory, and the Poincaré index of an isolated fixed point for a dynamical system in . State the Poincaré index of a periodic orbit.
Consider the system
where and are constants and .
(a) Find and classify the fixed points, and state their Poincaré indices.
(b) By considering a suitable function , show that any periodic orbit satisfies
where is evaluated along the orbit.
(c) Deduce that if then the second-order differential equation
has no periodic solutions.
3.II.36A
commentShow that, in cylindrical polar co-ordinates, the streamfunction for the velocity and vorticity of two-dimensional Stokes flow of incompressible fluid satisfies the equations
Show also that the pressure satisfies .
A stationary rigid circular cylinder of radius occupies the region . The flow around the cylinder tends at large distances to a simple shear flow, with velocity given in cartesian coordinates by . Inertial forces may be neglected.
By solving the equation for in cylindrical polars, determine the flow field everywhere. Determine the torque on the cylinder per unit length in .
[Hint: in cylindrical polars
The off-diagonal component of the rate-of-strain tensor is given by
3.I.8C
commentWhat is the effect of the Möbius transformation on the points , and ?
By considering
or otherwise, show that is a branch of the -function

Give a linearly independent branch.
3.II.18H
commentLet be a field extension.
(a) State what it means for to be algebraic over , and define its degree . Show that if is odd, then .
[You may assume any standard results.]
Show directly from the definitions that if are algebraic over , then so too is .
(b) State what it means for to be separable over , and for the extension to be separable.
Give an example of an inseparable extension .
Show that an extension is separable if is a finite field.
3.I.3G
commentLet denote the Hausdorff dimension of a set in . Prove that if then is totally disconnected.
[You may assume that if is a Lipschitz map then
3.II
commentDefine the chromatic polynomial of a graph . Show that if has vertices and edges then
where and and for all . [You may assume the deletion-contraction relation, provided it is clearly stated.]
Show that if is a tree on vertices then . Does the converse hold?
[Hint: if is disconnected, how is the chromatic polynomial of related to the chromatic polynomials of its components?]
Show that if is a graph on vertices with the same chromatic polynomial as (the Turán graph on vertices with vertex classes) then must be isomorphic to .
3.II.31C
commentLet and be matrix-valued functions of depending on the auxiliary parameter . Consider a system of linear PDEs
where is a column vector whose components depend on . Derive the zero curvature representation as the compatibility conditions for this system.
Assume that
and show that (1) is compatible if the function satisfies the PDE
for some which should be determined.
Show that the transformation
forms a symmetry group of the PDE (2) and find the vector field generating this group.
Find the ODE characterising the group-invariant solutions of (2).
3.II.21F
commentState and prove the Stone-Weierstrass theorem for real-valued functions. You may assume that the function can be uniformly approximated by polynomials on any interval .
Suppose that . Let be the set of functions which can be uniformly approximated on by polynomials with integer coefficients. By making appropriate use of the identity
or otherwise, show that .
Is it true that every continuous function on can be uniformly approximated by polynomials with integer coefficients?
3.II.16G
commentWhat is a transitive set? Show that if is transitive then so are the union and the power set of . If is transitive, is transitive? If is transitive, is transitive? Justify your answers.
What is the transitive closure of a set? Show that any set has a transitive closure .
Suppose that has rank . What is the rank of ? What is the rank of ?
[You may use standard properties of rank.]
3.I.6B
commentAn allosteric enzyme reacts with a substrate to produce a product according to the mechanism
where and are enzyme-substrate complexes. With lowercase letters denoting concentrations, write down a system of differential equations based on the Law of Mass Action which model this reaction mechanism.
The initial conditions are Using , and , show that the nondimensional reaction mechanism reduces to
finding expressions for and .
3.II.13B
commentConsider the activator-inhibitor system in the fast-inhibitor limit
where is small, and .
Examine the linear stability of the state using perturbations of the form . Sketch the growth-rate as a function of the wavenumber . Find the growth-rate of the most unstable wave, and so determine the boundary in the - parameter plane which separates stable and unstable modes.
Show that the system is unchanged under the transformation and . Hence write down the equation for the boundary between stable and unstable modes of the state .
3.I.1H
commentProve that, for all , we have
[You may assume that, for ,
3.II.11H
commentState the reciprocity law for the Jacobi symbol.
Let be an odd integer , which is not a square. Prove that there exists a positive integer such that and
Prove further that there exist infinitely many prime numbers such that
3.II.38C
comment(a) A numerical method for solving the ordinary differential equation
generates for every a sequence , where is an approximation to and . Explain what is meant by the convergence of the method.
(b) Prove from first principles that if the function is sufficiently smooth and satisfies the Lipschitz condition
for some , then the trapezoidal rule
converges.
3.II.28I
commentLet be a positive-definite symmetric matrix. Show that a non-negative quadratic form on of the form
is minimized over , for each , with value , by taking , where .
Consider for the controllable stochastic linear system in
starting from at time , where the control variables take values in , and where are independent, zero-mean random variables, with . Here, and are, respectively, and matrices. Assume that a cost is incurred at each time and that a final cost is incurred at time . Here, is a given non-negative-definite symmetric matrix. It is desired to minimize, over the set of all controls , the total expected cost . Write down the optimality equation for the infimal cost function .
Hence, show that has the form
for some non-negative-definite symmetric matrix and some real constant . Show how to compute the matrix and constant and how to determine an optimal control.
3.II.29C
commentLet be the space of smooth -periodic functions of one variable.
(i) For show that there exists a unique such that
(ii) Show that for every which is not identically zero, where is defined by
(iii) Show that the equation
with initial data has, for , a smooth solution such that for each fixed . Give a representation of this solution as a Fourier series in . Calculate and comment on your answer in relation to (i).
(iv) Show that for , and that as .
3.II
commentExplain, in a few lines, how the Pauli matrices with
are used to represent angular momentum operators with respect to basis states and corresponding to spin up and spin down along the 3 -axis. You should state clearly which properties of the matrices correspond to general features of angular momentum and which are specific to spin half.
Consider two spin-half particles labelled A and B, each with its spin operators and spin eigenstates. Find the matrix representation of
with respect to a basis of two-particle states . Show that the eigenvalues of the matrix are and find the eigenvectors.
What is the behaviour of each eigenvector under interchange of and ? If the particles are identical, and there are no other relevant degrees of freedom, which of the two-particle states are allowed?
By relating to the operator discussed above, show that your findings are consistent with standard results for addition of angular momentum.
3.II.26I
commentDefine the notion of exponential family , and show that, for data arising as a random sample of size from an exponential family, there exists a sufficient statistic whose dimension stays bounded as .
The log-density of a normal distribution can be expressed in the form
where is the value of an unknown parameter . Determine the function , and the natural parameter-space . What is the mean-value parameter in terms of
Determine the maximum likelihood estimator of based on a random sample , and give its asymptotic distribution for .
How would these answers be affected if the variance of were known to have value ?
3.II.19G
commentLet denote the irreducible representation of ; thus has dimension 3. Compute the character of the representation of for any . Compute the dimension of the invariants , meaning the subspace of where acts trivially.
Hence, or otherwise, show that the ring of complex polynomials in three variables which are invariant under the action of is a polynomial ring. Find a generator for this polynomial ring.
3.II
commentDefine the degree of a non-constant holomorphic map between compact connected Riemann surfaces and state the Riemann-Hurwitz formula.
Show that there exists a compact connected Riemann surface of any genus .
[You may use without proof any foundational results about holomorphic maps and complex algebraic curves from the course, provided that these are accurately stated. You may also assume that if is a non-constant complex polynomial without repeated roots then the algebraic curve is path connected.]
3.I.5J
commentConsider the linear model . Here, is an -dimensional vector of observations, is a known matrix, is an unknown -dimensional parameter, and , with unknown. Assume that has full rank and that . Suppose that we are interested in checking the assumption . Let , where is the maximum likelihood estimate of . Write in terms of an expression for the projection matrix which appears in the maximum likelihood equation .
Find the distribution of , and show that, in general, the components of are not independent.
A standard procedure used to check our assumption on is to check whether the studentized fitted residuals
look like a random sample from an distribution. Here,
Say, briefly, how you might do this in R.
This procedure appears to ignore the dependence between the components of noted above. What feature of the given set-up makes this reasonable?
3.II.34E
commentDerive the following two relations:
and
[You may use any standard Maxwell relation without proving it.]
Experimentalists very seldom measure directly; they measure and use thermodynamics to extract . Use your results from the first part of this question to find a formula for in terms of the easily measured quantities
(the volume coefficient of expansion) and
(the isothermal compressibility).
3.II.27J
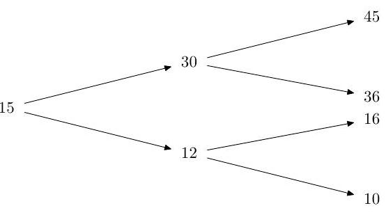
commentConsider a vector of asset prices evolving over time . The asset price is assumed constant over time. In this context, explain what is an arbitrage and prove that the existence of an equivalent martingale measure implies noarbitrage.
Suppose that over two periods a stock price moves on a binomial tree

Assume riskless rate . Determine the equivalent martingale measure. [No proof is required.]
Sell an American put with strike 15 and expiry 2 at its no-arbitrage price, which you should determine.
Verify that the buyer of the option should use his early exercise right if the first period is bad.
Assume that the first period is bad, and that the buyer forgets to exercise. How much risk-free profit can you lock in?
3.II
commentThe real function satisfies the Klein-Gordon equation
Find the dispersion relation for disturbances of wavenumber and deduce their phase and group velocities.
Suppose that at
Use Fourier transforms to find an integral expression for when .
Use the method of stationary phase to find for for fixed . What can be said if ?
[Hint: you may assume that